By Saskia Kemps
For years, global development efforts have focused on expanding access to electricity as a pathway to social and economic progress. Yet, during my fieldwork in Nepal and throughout the research for my master thesis, I found clear evidence that access to electricity alone is not enough. Electrification can improve living conditions, but without addressing the social, cultural, and institutional barriers that shape women’s lives, these benefits do not automatically translate into women’s empowerment or meaningful improvements in quality of life.
This insight became the starting point of my thesis, conducted in collaboration with Hivos/ENERGIA. Their work showed me that electrification becomes transformative only when paired with other enablers, such as training, financial support, community engagement, and gender-sensitive indicators. Their Technical Assistance (TA) 6526-NEP project in Madhesh Province in Nepal, formed the case study for my research. This project supported women entrepreneurs, strengthened gender-responsive procedure within the Nepal Electricity Authority (NEA), and promoted safe and inclusive electricity use in rural communities, among others.
During my time in Nepal, I interviewed both women entrepreneurs and women from recently electrified households in various districts. Their stories illustrated that electricity creates possibilities and opportunities but only becomes empowering when specific barriers are addressed.
Women in recently electrified households: early-stage change

Many women of recently electrified homes told me that life became “easier” after electrification: homes were safer, chores less physically demanding, and evenings more productive. However, these improvements did not automatically translate into empowerment. These women often lacked the decision-making power, skills, or financial means to use electricity for anything beyond basic household activities. Social norms continued to limit their ability to pursue new opportunities.
Community awareness campaigns implemented by the project improved women’s knowledge of safe use, but deeper structural issues, such as limited literacy and income, continued to constrain their capabilities.
Women entrepreneurs

In contrast, women who ran tailoring shops, eateries, small farms, or beauty parlors demonstrated that electricity can be empowering, when combined with targeted support. Tailors, for instance, were able to expand production using electric sewing machines, and some even gained the confidence to train girls in their communities. Women engaged in poultry, vegetable, or cattle farming reported significant productivity gains through tools such as electric irrigation pumps. These women frequently described increases in confidence, higher incomes, and growing respect within their households and communities. However, the path was and is not without obstacles: unreliable electricity supply, limited financial resources, and persistent gender norms continue to restrict how far their business can grow.
Technical and business training provided through the TA 6526 NEP project was often the crucial factor enabling women to move from basic electricity use to genuine economic empowerment.
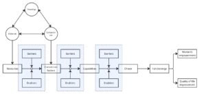
A new framework combining Social Practices Theory and Capabilities Approach
To understand why electricity benefits some women more than others, I developed a combined framework based on the Social Practices Theory (SPT) and Capabilities Approach (CA). SPT investigates how electricity changes daily routines, roles, and social practices, while CA analyses whether electricity expands women’s real freedoms and opportunities. This integrated SPT-CA framework helped identify where and why barriers occur, and how different kinds of interventions can address them.

Regarding the recently electrified households, the framework revealed that while electricity changed certain practices, such as cooking, lighting, and mobile phone use, women gained only limited capabilities. Capabilities are the real freedoms a person has, to do and to be the things in life that matter to them. Women gained only limited capabilities because they lacked control over household decisions, income shortages prevented appliance purchases, and norms restricted women’s mobility and learning. There is a need for interventions targeting social, educational, and financial support, not just technical access.
Regarding women entrepreneurs, specifically tailors, electricity triggered major changes, like new electric tools led to increased production, resulting in income growth. This created improvements in agency, social recognition, and long-term aspirations. The interventions that are needed are a stable supply, targeted training, and access to finance.
These two examples show that different target groups have different barriers and enablers to achieve the final aim of the project. In order to find out where interventions are most effective and efficient, the framework maps the entire pathway from resources to the social practices they shape, to the capabilities women are, or are not, able to achieve. By systematically tracing each step, the framework makes visible where progress stalls and why. This allows NGOs to pinpoint the exact stages at which tailored interventions are needed: whether at the level of improving material access, strengthening skills and confidence, addressing restrictive norms, or enhancing institutional support. In doing so, the framework becomes a practical tool for designing context-specific strategies that move beyond simply providing access, ensuring instead that electrification truly expands women’s freedoms, opportunities, and quality of life.
Thus, electricity can be transformative, but only when embedded in supportive social, cultural, and economic contexts. My thesis shows that empowerment emerges not from electricity itself, but from what women are able to do with it, and that it depends on training, agency, resources, and community support. ENERGIA’s work in Nepal demonstrates that when electrification is paired with intentional, gender-responsive interventions, women can develop new capabilities that meaningfully improve their lives.
To make energy transitions truly inclusive, access must be combined with empowerment pathways. Only then can electrification contribute to a just and equitable future.
Saskia graduated from Eindhoven University of Technology in November 2025. She received a 9 out of 10 for her thesis. Her thesis is currently in the process of being published. Once published, the official document will be available in the Resources section of this website. The thesis document can be downloaded here.





